• Mapping a vector space V into a vector space W

    Equation
    Graph
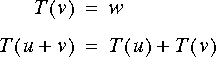
    Properties of linear transformation

    Equation


  • Distance relationship between vectors in both spaces V and W are still the same