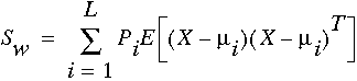
• Class-dependent involves separate statistics for each class
    Equations
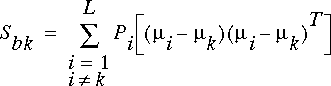
    Equations
    where Mu of i is the ith class mean and Mu of k is the kth class mean.

  • Class-dependent has separate transforms for each class formed by the eigenvectors of respective class
    Equations