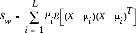
• Within-class scatter defines the scatter of samples around their respective means.
    Equation

  • Between-class scatter defines scatter of expected vectors around global mean.
    Equation

  • Mixture-class scatter is the overall scatter obtained from covariance of all samples
    Equation
    where mu is the overall mean.