2D graph 3D graph


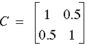
Support region for a Gaussian distribution with covariance matrix Matrix is an ellipse rotated at an angle of 45 degree with respect to the original axes