1D Gaussian distribution

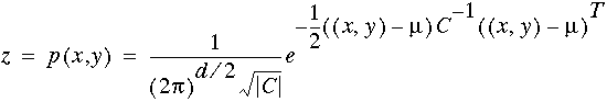
2D Gaussian distribution